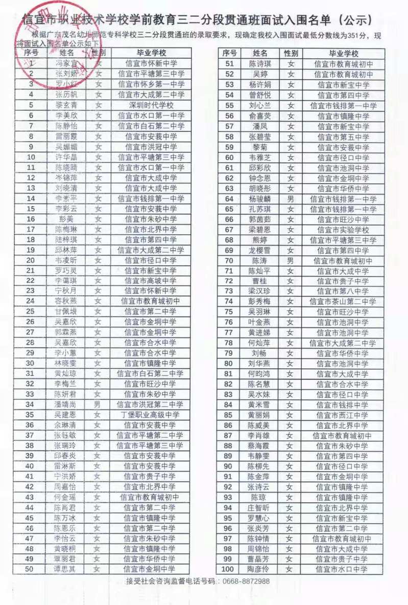
根据《广东省教育厅广东省招生委员会办公室关于开展2021年职业院校中高职贯通培养三二分段试点工作的通知》(粤教职函〔2021〕19号)及我校公布的中高职贯通三二分段【中职学段】招生简章等有关要求,现将信宜市职业技术学校入围面试的考生名单进行公示,公示时间为:8月25-27日;入围面试的分数线为351分。公示期间如有异议,请联系下方的咨询监督电话。
温馨提示:面试时间为8月28日9:30-12:00(8:45分起开始签到)。请考生携带身份证、准考证、初中毕业证、户口本到信宜市职业技术学校北校区(地址:信宜市竹山路308号)进行面试。如有疑问,请联系咨询:
信宜市职业技术学校:06688872988
广东茂名幼儿师范专科学校:0668-6618889
附件:信宜市职业技术学校入围面试的考生名单

